µØ¸ßÐÁ¿Ú·þÈÜÒº
ÓÃÓÚÓ¤¶ù¼°¶ùͯµÄ³äѪÐÔÐÄÁ¦Ë¥½ß¼°Ä³Ð©ÊÒÉÏÐÔÐÄÂÉʧ³£¡£
µØ¸ßÐÁ¿Ú·þÈÜҺ˵Ã÷Êé
Çë×ÐϸÔĶÁ˵Ã÷Êé²¢ÔÚҽʦָµ¼ÏÂʹÓÃ
¡¾Ò©Æ·Ãû³Æ¡¿
ͨÓÃÃû³Æ£ºµØ¸ßÐÁ¿Ú·þÈÜÒº
Ó¢ÎÄÃû³Æ£ºDigoxin Oral Solution
ººÓïÆ´Òô£ºDigaoxin Koufurongye
¡¾³É·Ý¡¿
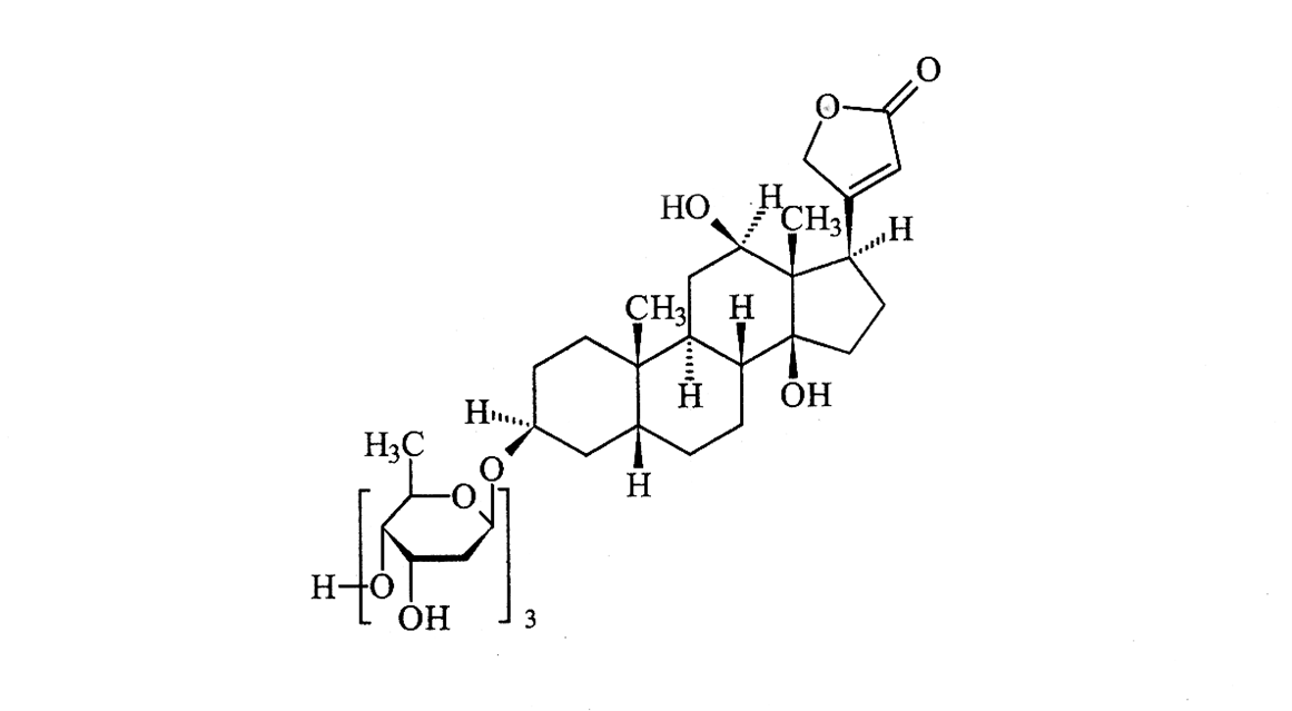
»¯Ñ§Ãû³Æ£º±¾Æ·Ö÷Òª³É·ÝΪµØ¸ßÐÁ£¬3¦Â-£Û£ÛO-2£¬6-¶þÍÑÑõ-¦Â-D-ºË-¼ºßÁà«ÌÇ»ù-(1¡ú4)-O-2£¬6-¶þÍÑÑõ-¦Â-D-ºË-¼ºßÁà«ÌÇ»ù-(1¡ú4)-2£¬6-¶þÍÑÑõ-¦Â-D-ºË-¼ºßÁà«ÌÇ»ù£ÝÑõ´ú£Ý-12¦Â£¬14¦Â-¶þôÇ»ù-5¦Â-ÐÄçÞ-20(22)Ï©ÄÚõ¥¡£
»¯Ñ§½á¹¹Ê½£º

·Ö×Óʽ£ºC41H64O14
·Ö×ÓÁ¿£º780.95
¡¾ÐÔ×´¡¿
±¾Æ·ÎªÎ¢»ÆÉ«µÄ³ÎÇåÒºÌ壬ÂÔÓд¼Î¶¡£
¡¾Ë³Ó¦Ö¢¡¿
ÓÃÓÚÓ¤¶ù¼°¶ùͯµÄ³äѪÐÔÐÄÁ¦Ë¥½ß¼°Ä³Ð©ÊÒÉÏÐÔÐÄÂÉʧ³£¡£
¡¾¹æ¸ñ¡¿
30ml£º1.5mg£»100ml£º5mg
¡¾Ó÷¨ÓÃÁ¿¡¿
¶ÔÉö¹¦Ð§Õý³£µÄ»¼¶ù°´ÌåÖØ¸ø·ÅÑóµØ»Æ»¯Á¿µÄµØ¸ßÐÁ¿Ú·þÈÜÒºµÄÓÃÁ¿£º¿Ú·þ¡£±¥ºÍÁ¿×ÜÁ¿£¬£¼2Ë꣬0.06¡«0.08mg/kg(Ï൱ÓÚ¿Ú·þÈÜÒº1.2¡«1.6ml/kg), £¾2Ë꣬0.04¡«0.06mg/kg(Ï൱ÓÚ¿Ú·þÈÜÒº0.8¡«1.2ml/kg);·Ö3¡«6´ÎÍê³É±¥ºÍ¡£ÒÔºóÓÃÉÏÊöÁ¿µÄ1/4ΪÖðÈÕά³ÖÁ¿¡£
Ôç²ú¶ùºÍÐÂÉú¶ùÒËÓÃ1/3»ò1/2Á¿¡£Èç·ºÆðÐÄÂÉʧ³£µÈÖж¾Õ÷Ïó£¬Ó¦Í£Ò©»ò¼Ó·þÂÈ»¯¼Ø¡£
¡¾²»Á¼·´Ó¦¡¿
1.³£¼ûµÄ²»Á¼·´Ó¦°üÀ¨£ºÐ·ºÆðµÄÐÄÂÉʧ³£¡¢Î¸Äɲ»¼Ñ»ò¶ñÐÄ¡¢ÍÂÄæ¡¢Ï¸¹Í´¡¢ÎÞÁ¦¡¢ÈíÈõ¡£
2.ÉÙ¼ûµÄ·´Ó¦°üÀ¨£ºÊÓÁ¦Ä£ºý»ò¡°É«ÊÓ¡±£¨Öж¾Ö¢×´Èç»ÆÊӵȣ©¡¢¸¹Ðº¡¢¾«ÉñÒÖÓô»òÅÓÔÓ¡£
3.ÓÐÊýµÄ·´Ó¦°üÀ¨£ºÊÈ˯¡¢Í·Í´¼°Æ¤ÕݡÂéÕ¹ýÃô·´Ó¦£©¡£
4.ÔÚÑóµØ»ÆµÄÖж¾ÌåÏÖÖУ¬ÐÄÂÉʧ³£×îÖ÷Òª£¬×î³£¼ûÕßΪÊÒÐÔÔ粫£¬Ô¼Õ¼ÐÄÔà·´Ó¦µÄ33%¡£Æä´ÎΪ·¿ÊÒ´«µ¼×èÖÍ£¬Õó·¢ÐÔ»ò¼ÓËÙÐÔ½ÓÈÀÐÔÐ͝¹ýËÙ£¬Õó·¢ÐÔ·¿ÐÔÐ͝¹ýËÙ°é·¿ÊÒ´«µ¼×èÖÍ£¬ÊÒÐÔÐ͝¹ýËÙ¡¢ñ¼ÐÔÍ£²«¡¢ÐÄÊÒ²ü¶¶µÈ¡£¶ùͯÖÐÐÄÂÉʧ³£±ÈÆäËû·´Ó¦¶à¼û£¬µ«ÊÒÐÔÐÄÂÉʧ³£±È³ÉÈËÉÙ¼û¡£ÐÂÉú¶ù¿ÉÓÐP£R¼äÆÚÑÓÉì¡£
¡¾½û¼É¡¿
1.Óë¸Æ×¢Éä¼ÁÊÊÓã»
2.ÈκÎÇ¿ÐÄÜÕÖÆ¼ÁÖж¾£»
3.ÊÒÐÔÐ͝¹ýËÙ¡¢ÐÄÊÒ²ü¶¶£»
4.¹£×èÐԷʺñÐÍÐ¡£¨Èô°éËõ¶Ì¹¦Ð§²»È«»òÐÄ·¿²ü¶¶ÈÔ¿ÉÓ¦Óã©£»
5.Ô¤¼¤×ÛºÏÕ÷°éÐÄ·¿²ü¶¶»òÆË¶¯¡£
É÷ÓÃÓÚ£º
1.µÍ¼ØÑªÖ¢£»
2.²»ÍêÈ«ÐÔ·¿ÊÒ´«µ¼×èÖÍ£»
3.¸ß¸ÆÑªÖ¢£»
4.¼××´ÏÙ¹¦Ð§µÍÏ£»
5.ȱѪÐÔÐÄÔಡ£»
6.Ð£ËÀ£»
7.Ðļ¡Ñ×£»
8.Éö¹¦Ð§Ë𺦣»
9.¾Æ¾«¹ýÃô¡£
¡¾×¢ÖØÊÂÏî¡¿
¶Ôñ¼ÐÔÐÄÂɵÄÇá¡¢ÖжȳäѪÐÔÐÄÁ¦Ë¥½ßµÄ»¼Õߣ¬µØ¸ßÐÁÄÜÔöÌíÉäѪ·ÖÊý£¬¸ÄÉÆ×óÊÒ¹¦Ð§£¬Ô¤·À²¡Çé¶ñ»¯£¬µ«¼±ÐÔÐ£ËÀºóµÄ×óÐĹ¦Ð§²»È«£¨ÓÈÆäÊ×ÈÕ·¢²¡£©Ó¦É÷Óá£ÓÃҩʱ´úӦע֨¼à²â£º
¢Ù Ѫѹ¡¢ÐÄÂɼ°ÐÄÂÊ£»
¢Ú Ðĵçͼ£»
¢Û ÐĹ¦Ð§¼à²â£»
¢Ü µç½âÖÊÓÈÆä¼Ø¡¢¸Æ¡¢Ã¾£»
¢Ý Éö¹¦Ð§£»
¢ÞÒÉÓÐÑ󵨻ÆÖж¾Ê±£¬Ó¦×÷µØ¸ßÐÁѪҩŨ¶È²â¶¨¡£¹ýÁ¿Ê±£¬ÓÉÓÚÐî»ýÐÔС£¬£°ãÓÚÍ£Ò©ºó1¡«2ÌìÖж¾ÌåÏÖ¿ÉÒÔÏûÍË¡£ÈçµØ¸ßÐÁѪҩŨ¶ÈÔÚ2.0¡«2.5ng/mlÒÔÉÏ£¬Ó¦Ð¡ÐÄÑóµØ»Æ¹ýÁ¿¶¾ÐÔ·´Ó¦¡£»¼Õß2-3ÖÜǰδӦÓÃÑ󵨻ÆÀàÖÆ¼ÁÕߣ¬ÐëҪʱ¿É˼Á¿¸øÓ踺ºÉÁ¿£»Éö¹¦Ð§²»È«Õߣ¬²»ÒËÓ¦ÓõظßÐÁ£¬Ó¦Ñ¡ÓÃÑóµØ»Æ¶¾ÜÕ£»Ó¦ÓÃÑóµØ»Æ»¼Õß³£¶Ôµç¸´Âɼ«ÎªÃô¸Ð£¬Ó¦¸ß¶ÈСÐÄ£»Í¸Îö²»¿É´ÓÌåÄÚѸËÙÈ¥³ý±¾Æ·£»ÔÚ±¾Æ·ÒýÆðÑÏÖØ»òÍêÈ«ÐÔ·¿ÊÒ´«µ¼×èÖÍʱ£¬²»Ò˲¹¼Ø£»ÍíÄê¼°ÐéÈõÕßÔÚ³£ÓüÁÁ¿¼°ÑªÒ©Å¨¶Èʱ¾Í¿ÉÓÐÖж¾·´Ó¦£»Ó¤Ó×¶ùÒªÔÚѪҩŨ¶È¼°Ðĵç¼à²âÏÂÔöÌí¼ÁÁ¿£»°ëË¥ÆÚ½Ï¶ÌµÄ±¾Æ·£¨°ëË¥ÆÚƽ¾ùΪ36Сʱ£©£¬ÖðÈÕ¿Ú·þ0.25©J£¬¾5¸ö°ëË¥ÆÚ£¨Ô¼6¡«8ÈÕ£©¿ÉµÖ´ïÑóµØ»Æ»¯ÑªÒ©Å¨¶ÈµÄ96%¡£ÈçÈÔ²»¿ÉµÖ´ïÖÎÁÆÐ§¹û£¬¿ÉÊʵ±ÔöÌí¼ÁÁ¿¡£È粡Çé½Ï¼±£¬Îª½Ï¿ìµÖ´ïÓÐÓÃŨ¶È£¬ÈÔÐèÏȸø¸ººÉÁ¿£¬µ«¼ÁÁ¿Ðè¸öÌ廯£»µ±»¼ÕßÓÉÇ¿ÐÄÜÕ×¢ÉäÒº¸ÄΪ±¾Æ·Ê±£¬ÎªÅâ³¥Ò©Îï¼äÒ©´ú¶¯Á¦Ñ§²î±ð£¬ÐèÒªµ÷½â¼ÁÁ¿¡£
¡¾Ôи¾¼°²¸ÈéÆÚ¸¾Å®ÓÃÒ©¡¿Î´¾ÙÐиÃÏîʵÑéÇÒÎÞ¿É¿¿²Î¿¼ÎÄÏס£
¡¾¶ùͯÓÃÒ©¡¿Î´¾ÙÐиÃÏîʵÑéÇÒÎÞ¿É¿¿²Î¿¼ÎÄÏס£
¡¾ÍíÄêÓÃÒ©¡¿Î´¾ÙÐиÃÏîʵÑéÇÒÎÞ¿É¿¿²Î¿¼ÎÄÏס£
¡¾Ò©ÎïÏ໥×÷Óá¿
£¨1£©ÓëÁ½ÐÔÃ¹ËØB¡¢Æ¤Öʼ¤ËØ»òʧ¼ØÀûÄò¼ÁÈç²¼ÃÀËûÄᣨbumetanide£©¡¢ÒÀËûÄáËᣨethacrynic acid£©µÈÊÊÓÃʱ£¬¿ÉÒòµÍѪ¼Ø¶øÖÂÑ󵨻ÆÖж¾¡£
£¨2£©ÓëÖÆËáÒ©£¨ÓÈÆäÈý¹èËáþ£©»òֹкÎü¸½Ò©Èç°×ÌÕÍÁ¡¢¹û½º¡¢¿¼À´Ï©°·£¨colestyramine£©ºÍÆäËûÒõÀë×Ó½»Á÷Ê÷Ö¬¡¢Áøµª»ÇßÁण¨sulfasalazine£©»òÐÂÃ¹ËØ¡¢¶Ô°±»ùË®ÑîËáÊÊÓÃʱ£¬¿ÉÒÖÖÆÑ󵨻ÆÇ¿ÐÄÜÕÎüÊÕ¡£
£¨3£©Ó뿹ÐÄÂÉʧ³£Ò©¡¢¸ÆÑÎ×¢Éä¼Á¡¢¿É¿¨Òò»òÄâÉöÉÏÏÙËØÀàÒ©ÊÊÓÃʱ£¬¿Éµ¼ÖÂÐÄÂÉʧ³£¡£
£¨4£©ÓÐÑÏÖØ»òÍêÈ«ÐÔ·¿ÊÒ´«µ¼×èÖͶøÑª¼ØÕý³£µÄÑóµØ»Æ»¯»¼Õß²»Ó¦Í¬Ê±Ó¦ÓüØÑΣ¬µ«àçàºÀà
ÀûÄò¼ÁÓ뱾ƷÊÊÓÃʱ£¬Ó¦±ÜÃâµÍ¼ØÑªÖ¢¡£
£¨5£©¦ÂÊÜÌå×èÖͼÁÓ뱾ƷÊÊÓã¬Óе¼Ö·¿ÊÒ´«µ¼×èÖͱ¬·¢ÑÏÖØÐ͝¹ý»ºµÄ¿ÉÄÜ¡£µ«²¢²»É¨³ý¦Â×èÖͼÁÓÃÓÚÑóµØ»Æ²»¿É¿ØÖÆÐÄÊÒÂʵÄÊÒÉÏÐÔ¿ìËÙÐÄÂÉʧ³£¡£
£¨6£©Óë¿üÄᶡͬÓ㬿Éʹ±¾Æ·ÑªÒ©Å¨¶ÈÌá¸ßÔ¼Ò»±¶£¬Á½Ò©ÊÊÓÃʱӦ×üõµØ¸ßÐÁÓÃÁ¿1/2¡«1/3¡£
£¨7£©ÓëάÀÅÁÃס¢µØ¶ûÁò?¡¢°·µâͪÊÊÓ㬿ÉÒýÆðÑÏÖØÐ͝¹ý»º¡£
£¨8£©ÂÝÄÚõ¥¿ÉÑÓÉ챾Ʒ°ëË¥ÆÚ¡£
£¨9£©Ñª¹ÜÖ÷ÒªËØ×ª»»Ã¸ÒÖÖÆ¼Á¼°ÆäÊÜÌåÞ׿¹¼Á¿Éʹ±¾Æ·ÑªÒ©Å¨¶ÈÔö¸ß¡£
£¨10£©ßÅßáÃÀÐÁ£¨indomethacin£©¿Éʹ±¾Æ·°ëË¥ÆÚÑÓÉ죬Ðè¼à²âѪҩŨ¶È¼°Ðĵçͼ¡£
£¨11£©Óë¸ÎËØÍ¬Óã¬Äܲ¿·ÖµÖÏû¸ÎËØµÄ¿¹Äý×÷ÓÃ,Ӧע֨µ÷½â¸ÎËØÓÃÁ¿¡£
£¨12£©ÑóµØ»Æ»¯Ê±¾²ÂöÓÃÁòËáþӦ¼«ÆäÉóÉ÷£¬¿É±¬·¢ÐÄÔà´«µ¼×èÖÍ¡£
£¨13£©ºìÃ¹ËØ¿ÉÔöÌí±¾Æ·ÔÚ賦µÀµÄÎüÊÕ¡£
¡¾Ò©Îï¹ýÁ¿¡¿
δ¾ÙÐиÃÏîʵÑéÇÒÎÞ¿É¿¿²Î¿¼ÎÄÏס£
¡¾Ò©Àí¶¾Àí¡¿
ÖÎÁƼÁÁ¿Ê±¾ßÓУº
1.ÕýÐÔ¼¡Á¦×÷Ó㺱¾Æ·Ñ¡ÔñÐÔµØÓëÐļ¡Ï¸°ûĤNa+-K+-ATPøÍÅ½á¶øÒÖÖÆ¸Ãø»îÐÔ£¬Ê¹Ðļ¡Ï¸°ûĤÄÚÍâNa+-K+×Ô¶¯Å¼Áª×ªÔËÊÜËð£¬Ðļ¡Ï¸°ûÄÚNa+Ũ¶ÈÉý¸ß£¬´Ó¶øÊ¹¼¡Ä¤ÉÏNa+-Ca2+½»Á÷Ç÷ÓÚ»îÔ¾£¬Ê¹Ï¸°û½¬ÄÚCa2£«Ôö¶à£»¼¡½¬ÍøÄÚCa2+´¢Á¿ÒàÔö¶à£¬Ðļ¡ÐË·Üʱ£¬Óн϶àµÄCa2+ÊÍ·Å£»Ðļ¡Ï¸°ûÄÚCa2+Ũ¶ÈÔö¸ß£¬Ðļ¡Ëõ¶ÌÂѰ׼¤¶¯ÔöÇ¿´Ó¶øÔöÌíÐļ¡Ëõ¶ÌÁ¦¡£
2.¸ºÐÔÆµÂÊ×÷ÓãºÓÉÓÚÆäÕýÐÔ¼¡Á¦×÷Óã¬Ê¹Ë¥½ßÐÄÔàÐÄÊä³öÁ¿ÔöÌí£¬ÑªÁ÷¶¯Á¦Ñ§¸ÄÉÆ£¬Ïû³ý½»¸ÐÉñ¾ÕÅÁ¦µÄ·´ÉäÐÔÔö¸ß£¬²¢ÔöÇ¿ÃÔ×ßÉñ¾ÕÅÁ¦£¬Òò¶ø¼õÂýÐÄÂÊ¡¢ÑÓ»º·¿ÊÒ´«µ¼¡£±ðµÄ£¬Ð¡¼ÁÁ¿Ê±Ìá¸ßñ¼·¿½á¶ÔÃÔ×ßÉñ¾¼¤¶¯µÄÃô¸ÐÐÔ£¬¿ÉÔöÇ¿Æä¼õÂýÐÄÂÊ×÷Óá£ÓÉÓÚÆä¸ºÐÔÆµÂÊ×÷Óã¬Ê¹ÊæÕÅÆÚÏà¶ÔÑÓÉ죬ÓÐÀûÓÚÔöÌíÐļ¡Ñª¹©£»´ó¼ÁÁ¿Ôò¿ÉÖ±½ÓÒÖÖÆñ¼·¿½á¡¢·¿ÊÒ½áºÍÏ£ÊÏÊø¶ø·ºÆðñ¼ÐÔÐ͝¹ý»ººÍ²î±ðˮƽµÄ·¿ÊÒ´«µ¼×èÖÍ¡£
3.ͨ¹ý¶ÔÐçÔ˶¯µÄÖ±½Ó×÷ÓúͶÔÃÔ×ßÉñ¾µÄ¼ä½Ó×÷Ó㬽µµÍñ¼·¿½á×ÔÂÉÐÔ£»Ìá¸ßÆÖ¿ÏÒ°ÏËά×ÔÂÉÐÔ£»¼õÂý·¿Êҽᴫµ¼ËÙÂÊ£¬ÑÓÉìÆäÓÐÓò»Ó¦ÆÚ£¬µ¼Ö·¿ÊÒ½áÒþÄäÐÔ´«µ¼ÔöÌí£¬¿É¼õÂýÐÄ·¿Ï˲ü»òÐÄ·¿ÆË¶¯µÄÐÄÊÒÂÊ£»ÓÉÓÚ±¾Ò©Ëõ¶ÌÐÄ·¿ÓÐÓò»Ó¦ÆÚ£¬µ±ÓÃÓÚ·¿ÐÔÐ͝¹ýËٺͷ¿ÆËʱ£¬¿ÉÄܵ¼ÖÂÐÄ·¿ÂʵļÓËÙºÍÐÄ·¿ÆË¶¯×ªÎªÐÄ·¿Ï˲ü£»Ëõ¶ÌÆÖ¿ÏÒ°ÏËάÓÐÓò»Ó¦ÆÚ¡£
¡¾Ò©´ú¶¯Á¦Ñ§¡¿
µØ¸ßÐÁΪÓÉ뻨Ñ󵨻ÆÌá´¿ÖÆµÃµÄÖÐЧǿÐÄÜÕ£¬ÆäÌØµãÊÇÉøÍ¸½Ï¿ì¶øÐî»ýÐÔ½ÏС£¬ÁÙ´²Ê¹ÓñÈÑóµØ»ÆÆ¬ºÍÑóµØ»Æ¶¾ÜÕÇå¾²¡£¿Ú·þÖ÷Òª¾Ð¡³¦Éϲ¿ÎüÊÕ£¬ÎüÊÕ²»ÍêÈ«£¬Ò²²»¹æÔò£¬¿Ú·þÎüÊÕÂÊÔ¼75%£¬ÉúÎïʹÓÃ¶ÈÆ¬¼ÁΪ60%¡«80%£¬õ¯¼ÁΪ70%¡«85%£¬¿Ú·þÆðЧʱ¼ä0.5¡«2Сʱ£¬Ñª½¬Å¨¶È´ï·åʱ¼ä2¡«3Сʱ£¬»ñ×î´óЧӦʱ¼äΪ2¡«6Сʱ¡£×÷ÓÃά³Ö4¡«7Ì죻¾²Âö×¢ÉäÆðЧʱ¼ä5¡«30·ÖÖÓ£¬´ï·åʱ¼ä1¡«4Сʱ£¬Ò»Á¬Ê±¼ä6Сʱ¡£×¢Éä¸øÒ©Ò×Ö²»Á¼·´Ó¦£¬¹Ê½öÊÊÓÃÓÚÑÏÖØÐÄË¥ÐèÒªÁ¬Ã¦ÖÎÁƵIJ¡ÈË¡£ÂþÑÜ£ºÎüÊÕºóÆÕ±éÂþÑܵ½¸÷×éÖ¯£¬²¿·Ö¾µ¨µÀ½øÈ볦µÀ¶øÐγɸΨC³¦Ñ»·¡£Ñª½¬ÂѰ×ÍŽáÂʵͣ¬Îª20%¡«25%£¬±í¹ÛÂþÑÜÈÝ»ýΪ6¡«10L/©K¡£ ´úлÓëÉøÍ¸£ºµØ¸ßÐÁÔÚÌåÄÚת»¯´úлºÜÉÙ£¬Ö÷ÒªÒÔÕæÏàÓÉÉöɨ³ý£¬ÄòÖÐÇãÔþÁ¿ÎªÓÃÁ¿µÄ50%¡«70%£»µØ¸ßÐÁÏû³ý°ëË¥ÆÚƽ¾ùΪ35Сʱ¡£
¡¾Öü²Ø¡¿ÃÜ·âÉúÑÄ¡£
¡¾°ü×°¡¿²£Á§Æ¿£¬30ml/Æ¿£¬1Æ¿/ºÐ£»100ml/Æ¿£¬1Æ¿/ºÐ
¡¾ÓÐÓÃÆÚ¡¿24¸öÔÂ
¡¾Ö´Ðбê×¼¡¿¡¶ÖлªÈËÃñ¹²ºÍ¹úÒ©µä¡·2015Äê°æ£¨¶þ²¿£©
¡¾Åú×¼Îĺš¿¹úÒ©×¼×ÖH10970389
¡¾Éú²úÆóÒµ¡¿
ÆóÒµÃû³Æ£º±±¾©»ªÈó¸ß¿Æ×ÔȻҩÎïÓÐÏÞ¹«Ë¾
Éú²úµØÖ·£º±±¾©ÊÐÑÓÇìÇøÑÓÇìÕòæ£Ë®ÄϽÖ11ºÅ
ÓÊÕþ±àÂ룺102100
µç»°ºÅÂ룺400¡ª1698808
´«ÕæºÅÂ룺010¡ª81192559